在重金屬廢水中PADTC的應用研究-河南山水環保材料有限公司

重金屬在廢水中主要以離子態和絡合態形式存在。對于以自由離子形態存在的重金屬,可以采用加堿沉淀法去除;但絡合態的重金屬不再以單一的重金屬離子形式存在,而是與乙二胺四乙酸、檸檬酸、酒石酸、氨水等物質形成穩定絡合物。重金屬離子與這些配位體之間具有強大的結合能力,導致去除難度更大,因此,普通的加堿中和沉淀法難以達到國家綜合廢水的排放標準。相比芬頓氧化和鐵屑還原等方法,直接使用重金屬捕集劑生成沉淀具有操作簡單、產生的污泥量較少、工業成本較低的特點,因而重金屬捕集劑絡合沉淀法已經成為該領域研究的熱點。
絡合沉淀是使用較強的絡合劑如二硫代氨基甲酸鹽(DTC)或聚-二硫代氨基甲酸鹽(PDTC),直接投加到廢水中后適當攪拌混勻,再加入適量絮凝劑PAM形成不溶性絡合物來去除重金屬離子。ZHEN等報道了一種四硫代氨基甲酸(DTC-TBA)絡合劑用來去除EDTA-Cu廢水中的Cu2+,其中對Cu2+的***大吸附能力可達287 mg·g−1。FU等采用BDP和DDTC處理含鎳廢水,發現2種絡合劑可以將Ni2+的濃度從50.0降低到0.87 mg·g−1。LI等制備了DTC-MWCNT,用于去除絡合態Cd2+、Cu2+和Zn2+,其中Cd2+、Cu2+和Zn2+的吸附能力分別為167、98.1和11.2 mg·g−1。然而,這些重金屬捕集劑,在酸性條件下容易分解成胺和二硫化碳,處理效果不佳,并且在水中溶解度小,使用量大,還需要添加絮凝劑。因此,研究開發強酸、強堿性條件下也具有優良捕集性能的水溶性大分子重金屬捕集劑,適用于廣大酸性絡合重金屬廢水,且不需要再加入PAM等絮凝劑,具有重要的研究意義和工業價值。
針對以上情況,因甲醛分子質量小且成本低,能快速進入反應體系,且在聚合物中所占比例小,相比之前文獻報道利用環氧氯丙烷等交聯劑有明顯優勢;因此,本研究以甲醛為交聯劑,乙二胺、二硫化碳和氨水為原料合成聚-二硫代氨基甲酸銨(PADTC),采用傅里葉紅外光譜、元素分析、核磁共振對其結構進行表征,并用凝膠滲透色譜法確定其分子質量大小和聚合度。同時,研究PADTC反應時間和pH等因素對重金屬去除效果的影響,以及對CA、TA、EDTA 3種螯合劑分別與Cu、Ni、Zn 3種重金屬離子絡合后的處理效果,并進一步研究了PADTC對實際廢水的處理效果和處理前后COD變化情況,探討該重金屬捕集劑抓捕絡合態重金屬離子的反應機理。
1 材料與方法
1.1 材料
甲醛(HCHO),乙二胺(C2H8N2),氨水(NH3·H2O),二硫化碳(CS2),L-(+)-酒石酸(TA,C4H6O6),檸檬酸一水合物(CA, C6H8O7·H2O),乙二胺四乙酸(EDTA,C10H16N2O8),氯化銅(CuCl2·2H2O),氯化鎳(NiCl2·6H2O),氯化鋅(ZnCl2)和無水乙醇(C2H5OH),均為分析純。
1.2 方法
1.2.1 PADTC的合成實驗
首先,往配有冷凝回流裝置和恒溫磁力攪拌器(ZNCL-GS,中國)的1 000 mL三口燒瓶中加入125 mL蒸餾水和66 mL乙二胺。在室溫下攪拌15 min后,加入75 mL甲醛溶液。當溫度降至20 °C時,加入308 mL氨水溶液。持續攪拌反應至溫度降到30 °C時開始緩慢滴加120 mL二硫化碳。然后,保持反應溫度為30 °C,在500 r·min−1的攪拌速度下繼續反應3 h。當有大量白色沉淀從黃色混合物中分離時,結束反應。將產物抽濾,依次用去離子水和乙醇洗滌,在60 °C下真空干燥12 h,得到白色固體產物聚-二硫代氨基甲酸銨(PADTC),產率為98%。
制備PADTC的基本反應方程見式(1)。乙二胺和甲醛縮合形成聚合物,然后發生親核反應,在堿性條件下與二硫化碳形成聚-二硫代氨基甲酸銨鹽(PADTC)。
(1)1.2.2 PADTC捕集重金屬的實驗
在室溫條件下,取250 mL、100 mg·L−1模擬CA-Cu、CA-Ni、CA-Zn廢水置于250 mL 錐形瓶中,加入0.1 g重金屬捕集劑PADTC,置于搖床中振蕩5 min后再靜置15 min,取上清液過濾后用原子吸收分光光度計測定溶液中殘留的重金屬離子濃度,分別研究了pH和反應時間對PADTC去除重金屬的影響,以及對CA、TA、EDTA 3種絡合劑與Cu、Ni、Zn 3種重金屬離子絡合后的處理效果。
實際廢水處理研究中,取靖江某電鍍廢水廠廢水,C(Cu2+)= 159.34 mg·L−1,C(Ni2+) = 165.72 mg·L−1,C(Zn2+)= 214.78 mg·L−1,pH = 6.43。捕集處理操作過程同上,并進一步研究了處理前后COD變化。
1.3 分析方法
pH指標采用梅特勒-托利多pH測定,重金屬離子濃度采用火焰原子吸收分光光度計(Shimadzu AA-7000F,日本)測定。重金屬捕集劑PADTC反應前后表征:傅里葉紅外光譜儀(SpectrumGX型,Perkin-Elmer,美國)用來測定官能團,元素分析儀(Vario MACRO cube,德國Elementar)用來測定捕集劑碳、氫、氮、硫的含量,水相凝膠滲透色譜GPC(TDA MAX305,馬爾文)用來測定化合物分子質量以此來確定產物聚合度,核磁共振波譜儀NMR(Ascend400,瑞士布魯克)用來測定化合物氫和碳的種類,SEM-EDS (Hitachi S-4800, 日本)用來測定物質表面形貌和元素種類,X射線光電子能譜儀XPS(Thermo ESCALAB 250XI,美國賽默飛世爾科技)用來測定沉淀元素及其存在形式。
2 結果與討論
2.1 PADTC的結構表征
傅里葉紅外光譜如圖1所示,2857 cm−1和1435 cm−1處的吸收峰是CH2的對稱伸縮和變角振動峰,1036 cm−1是C—N的伸縮振動峰,而720 cm−1和1200 cm−1處的吸收峰分別表示C—S和C═S的伸縮振動,3084 cm−1和1668 cm−1是NH4+的反對稱伸縮振動和對稱變角振動峰。以上紅外結果表明產物PADTC中含有二硫代氨基甲酸銨基團。
此外,根據表1的元素分析,C、H、N和S元素平均質量分數分別為23.57%、5.62%、21.86%和49.1 4%。表明PADTC中各元素摩爾比N:S為1:1,H:S為2.8:1。
PADTC的1H和13C核磁共振光譜如圖2和圖3所示。在圖2氫譜中,化學位移為5.25、3.95、7.36的峰分別屬于—CH2、—CH2—CH2和NH4+中的氫。在圖3碳譜中,70.92、51.18和208.67的化學位移屬于—CH2、—CH2—CH2和—S—C═S中的碳。
因此,由以上數據分析推測PADTC的結構式如圖3所示,并由GPC測得其數均相對分子質量為1 860,聚合度為7。
圖1 PADTC和PADTC-Cu、Ni和Zn的紅外譜圖
圖2 PADTC的NMR-1H譜圖
圖3 PADTC的NMR-13C譜圖和數據分析
表1 PADTC的元素分析
2.2 捕集實驗
如圖4(a)所示,控制反應體系的pH為6,PADTC的捕集能力隨著反應時間的增加而增加,到20 min 時達到***大捕集量,Cu2+、Ni2+ 和 Zn2+ ***大捕集量分別為246、234和227 mg·g−1。當反應時間超過20 min時,捕集能力有細微下降,這可能是因為少數細小的絮凝顆粒溶解在溶液中導致的[1]。
圖4(b)表示的是pH對捕集效果的影響,隨著pH增大,捕集能力先增大后減小,在pH為6.5附近,捕集能力達到***大值。pH過大,堿性條件下部分沉淀溶解為小顆粒物懸浮在上清液中,導致捕集能力有所下降。據報道,絡合樹脂PSDC在pH為5時對Cu2+的捕集能力僅為8.96 mg·g−1,Si-DTC在pH為4時對Cu2+捕集能力為20.5 mg·g−1,在pH降到3時幾乎喪失吸附能力。因此,相比之下,PATDC不僅具有較寬的pH適應范圍,而且在酸堿性條件下吸附效果都較好。
圖4(c)表示的是不同絡合劑對吸附效果的影響。調節反應體系的pH在6,結果表明,對于TA、CA、EDTA 3種螯合劑,PADTC對其絡合的重金屬去除效果均在98%以上,但是吸附能力有明顯差異,順序為TA > CA > EDTA。對于重金屬離子吸附能力,順序為Cu2+ > Ni2+ > Zn2+,這與之前的研究相同,Cu2+吸附能力***強是因為Cu和S有較大的親和力。EDTA-Ni和EDTA-Zn之所以這么穩定,這是因為兩者的穩定常數lgKf 分別達到了18.56和16.40,然而TA-Ni和TA-Zn 僅為2.06 和2.68,并且在原溶液中EDTA的酸性比TA大,還是六齒配體,與重金屬形成的螯合物更加穩定,難以去除。EDTA-Ni比EDTA-Zn去除效果更好的原因在于鋅是兩性金屬,在酸堿條件下穩定化效果不佳,而鎳被PADTC抓捕后相對穩定。
圖4(d)表示的是實際廢水的處理效果。實驗結果表明,當吸附時間達到20 min時,Cu2+, Ni2+, Zn2+去除率分別達到99.95%、99.94%、99.84%,剩余濃度分別為0.07、0.09 和0.34 mg·L−1,均在國家排放標準以下(Cu 0.3 mg·L−1,Ni 0.1 mg·L−1,Zn 1.0 mg·L−1)。此外,PADTC還能去除21%的COD (廢水初始COD為301.25 mg·L−1,反應過后COD為 237.99 mg·L−1),這可能是因為高分子聚合物之間的吸附架橋作用去除了廢水中的部分有機物。
圖4 不同條件對重金屬去除效果的影響
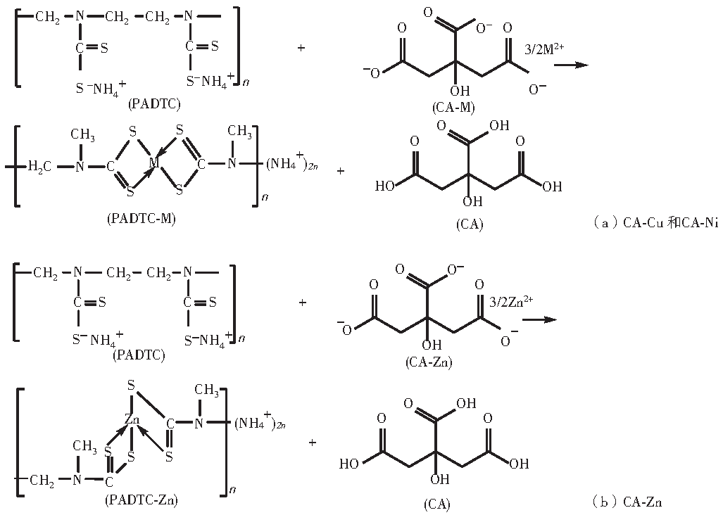
2.3 反應機理
以絡合劑CA為例,PADTC抓捕重金屬的機理如圖5所示(其中M 代表Cu 或者Ni)。銅原子的原子序數為29,其失去3d軌道和4s軌道的2個電子后形成銅離子,銅離子在與PADTC形成配合物時,采取dsp2雜化軌道成鍵,構型為平面四方形結構,中心離子銅的配位數為4,機理如圖5(a)所示。Ni的電子結構為3d84s2,失去4s軌道上的2個電子后形成鎳離子。當PADTC抓捕鎳離子時,鎳離子的8個3d電子發生重排,空出一個d軌道與4s和4p軌道雜交成dsp2軌道。雜化軌道為平面四方形結構,所以PADTC-Ni 是平面正方形。反應抓捕機理和銅類似,也是形成平面正方形,如圖5(a)所示。Zn 的電子結構為3d104s2,失去4s軌道上的2個電子形成鋅離子。當與PADTC反應時,鋅離子的3d軌道是飽和的,因此,形成sp3 軌道,構型為正四面體結構,中心離子的配位數也為4,抓捕機理如圖5(b)所示。
圖5 PADTC抓捕重金屬的機理
如圖1所示,捕集重金屬后的沉淀PADTC-Cu、Ni和Zn的 FT-IR光譜與PADTC相比,由于分子締合,2 857 cm−1中的—CH2吸收峰變寬,在2 889 cm−1處的峰可歸結于新的—CH3的對稱伸縮振動,而1 036 cm−1處的C—N吸收峰大大減弱。600~730 cm−1處的C—S峰的吸收強度降低,在1 200 cm−1處C═S伸縮振動降低到1 188 cm−1,這可能是由于PADTC與Cu、Ni和Zn之間發生反應時,PADTC上的S原子通過孤對電子形成配位鍵,減小了S的電負性,從而引起了峰的變化。
沉淀PADTC-Cu、Ni和Zn的電鏡掃描-能譜(SEM-EDS)分析如圖6所示,沉淀PADTC-Cu、Ni和Zn的電鏡掃描圖6(a)、(c)、(e)均顯示沉淀表面疏松多孔。其對應的能譜圖上分別有Cu、Ni和Zn元素峰出現,與 PADTC的元素分析相比較,Cu、Ni和Zn元素峰的出現表明PADTC捕集到了重金屬離子Cu、Ni和Zn 。
圖6 PADTC抓捕重金屬后的SEM-EDS
PADTC抓捕重金屬后沉淀PADTC-Cu、Ni和Zn的XPS如圖7所示。Cu1s的高分辨光譜位于1 070.79 eV處,Cu2p1/2、Cu2p2/3和Cu3p2/3的峰分別在952.88、932.29和77.02 eV,如圖7(a)和圖7(b)所示。S2s和S2p3的結合能分別位于227.70和162.83 eV處,由此可以推斷出S一Cu的存在[24]。Ni3p的高分辨率光譜位于66.22 eV,分別在871.15和853.84 eV處觀察到Ni2p1和Ni2p3的峰,如圖7(d)所示,因此證明了Ni2+的存在。此外,S2s和S2p3的結合能位于227.26和160.79 eV,這表明PADTC-Ni沉淀中存在S一Ni鍵。Zn2p的高分辨率光譜如圖7(f)所示,在1 021.80 eV(Zn2p3/2)和1 044.95 eV(Zn2p1/2)處,表明沉淀PADTC-Zn中Zn2+的存在,S2s和S2p3的結合能分別位于227.30和160.81 eV處,這表明沉淀中S—Zn的存在。531.80 eV處的O1s的峰值表明,可能是因為沉淀暴露在空氣中被氧化一部分,從而有O1s 的峰的出現。
圖7 PADTC抓捕重金屬后的XPS圖
3 結論
1)制備和表征了一種聚-二硫代氨基甲酸銨重金屬捕集劑PADTC,該捕集劑可用來處理含重金屬離子的廢水,對Cu2+、Ni2+、Zn2+***大抓捕能力可分別達到246、234和227 mg·g−1。
2)探討了反應時間和pH對捕集效果的影響,反應pH為6,時間為20 min時,可獲得***大捕集效果,還比較了TA、CA、EDTA等3種不同絡合劑絡合重金屬的處理效果,其去除效果順序為TA > CA > EDTA。
3)采用光譜學研究了吸附機理,主要是S═C—S鍵發揮抓捕重金屬的作用,形成穩定的配位鍵。
4)探討PADTC聚合度大小對抓捕效果的影響,進而減少合成反應中副反應的產生以提高產率,不僅可以對抓捕過程進行***控制,更可避免在重金屬抓捕后COD和NH4+-N的過度釋放;同時,在制備過程中保證產物顆粒大小均一性,還可提高重金屬捕集性能,并對重金屬抓捕機理進行深入探討。綜上,關注材料的循環利用將成為未來研究的方向。(來源:環境工程學報 作者:陳輝)